
Within the scope of imaging technology, the improvement of "resolution" to a higher level often involves a deep and intense game process with authenticity and the limits that technology can achieve.

Measurement Dimensions of Resolution


The ability to distinguish is not limited to what we usually call image clarity. In the process of scientific observation, the content it contains covers multiple dimensions that can be measured, such as time, space, spectrum, and radioactivity. For example, when satellites are observing the ground, the often-mentioned 10-meter or 0.1-meter resolution specifically refers to the spatial resolution, which is the smallest ground detail size that the system can use to distinguish. The meaning of 0.1 meter resolution is that each pixel represents a 10 cm square area on the ground. An ordinary car may only appear as dozens of pixels in the image.
This quantitative method allows the performance of different imaging systems to be compared. In actual applications, the choice of resolution index depends on the specific mission requirements. For example, meteorological satellites pay more attention to the sensitivity of temperature measurement, while reconnaissance satellites pursue the ultimate resolution of spatial details.


From angular resolution to spatial resolution
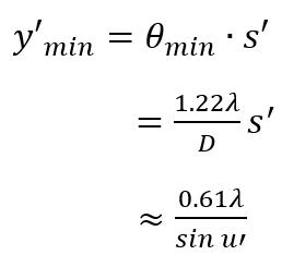
Initially, according to the distance from the object to the instrument, the Rayleigh criterion in classical optical theory uses angular resolution to define the resolving power of the instrument. The Rayleigh criterion, which uses angular resolution to define the resolving power of the instrument, is more suitable for describing the telescope's observation of distant stars. However, in most terrestrial imaging scenarios, or in most close-range imaging scenarios, we are more concerned about the actual spatial size of the object, so the concept of line resolution is introduced. Line resolution is expressed by the number of pairs of light and dark lines that can be resolved per millimeter of length.
In terms of daily imaging equipment such as cameras and mobile phone cameras, although their optical design is based on the principle of angular resolution, the clarity of the final output image can be converted into equivalent spatial resolution. Therefore, the theoretical limit provided by the Rayleigh criterion has become one of the general criteria for evaluating the basic performance of various optical instruments.
Diffraction limit and breakthrough attempts

Any optical system has a theoretical maximum resolution limit, which is the diffraction limit, which is determined by the wave nature of light and the system aperture. The point spread function quantitatively describes the degree of imaging blur of the system against an ideal point light source. In theory, if the point spread function can be infinitely reduced, the system resolution can exceed the diffraction limit.

Scientists have made various attempts to do this. For example, in the field of microscopy, special light source concepts or sample processing are used to cause luminous points to be excited and detected one by one at different times, and then finally synthesized into an image whose details far exceed traditional limits. This is actually a "deconvolution" process for the point spread function.
The cost of super-resolution microscopy

There must be a cost to achieve optical super-resolution imaging. The core idea behind technologies such as STED or PALM is to use physical or chemical methods to cause fluorescent molecules that are close to each other in the sample to emit light at different time points, and then superimpose these signals. This process greatly improves the horizontal or vertical resolution, allowing it to reach the nanometer scale.
However, these technological improvements are obtained at the expense of other performance. In order to obtain high-definition images of a small area, it often takes a long time to scan, and the visual range is extremely small. Therefore, it is mainly used in life sciences to observe biological macromolecules in fixed cell slices. It is difficult to quickly and widely image living organisms.
Engineering wisdom of synthetic apertures
In the field of radar remote sensing, engineers have used a significantly different idea to improve resolution, which is synthetic aperture radar. Its core principle is not to improve a single antenna, but to use the relative movement of the radar platform and the target to finely process the echo signals received at different locations during the flight phase.
Through signal processing algorithms, echoes originating from different locations are synthesized, which is equivalent to creating a virtual antenna of extremely large size. This method exquisitely transforms information in the time dimension into spatial resolution capabilities, allowing airborne or spaceborne radars to achieve high-resolution imaging better than 05 meters without being interfered by clouds, rain and darkness.
Subpixel displacement and computational imaging
In the hardware configuration, when the pixel size cannot be reduced due to the limitations of the semiconductor process, computational imaging technology has given new thinking. The so-called sub-pixel displacement super-resolution technology requires the collection of multiple low-resolution images, and there is a slight position shift between each of these images. The most critical point is that these position offsets must be at the sub-pixel level, which means that their specifications are smaller than the size of a physical pixel.
If the displacement is an entire pixel, the information at the same sampling point in different images will be completely repeated, and there is no way to provide new data. With the help of sub-pixel displacement, each image covers slightly different sample information, and then by fusing this information through a specific algorithm, an image higher than the native resolution of the sensor can be reconstructed, which has become an integral part of many mobile phone camera algorithms.
In the pursuit of higher resolution, should we continue to challenge the physical limits, or should we focus more on the integration of algorithms and engineering wisdom? Which path do you think will be more decisive for the development of future imaging technology? Welcome to share your views. If this article has inspired you, please like it to support it.




